TransphotoUrban Electric Transit

Photo Statistics

484 KB


Photo ID:1233209
File Size:484 KB
Author:Транспортник
Date published:07.07.2019 10:11 MSK
Days since photo published:2336
Unique views:941
Comments:0

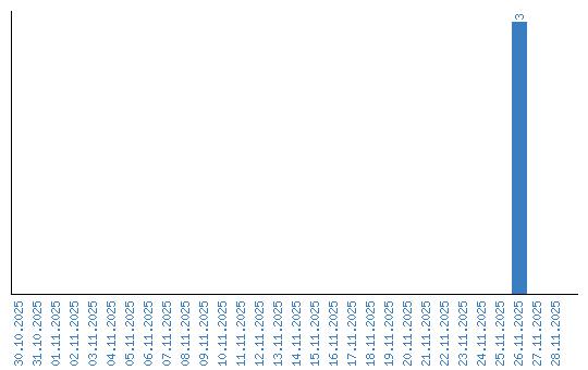
Viewing statistics by date