TransPhotoГородской электротранспорт

Информация об изображении

86 КБ


Идентификатор изображения:1209512
Размер файла:86 КБ
Прислал:metafizich
Опубликовано:01.05.2019 03:58 MSK
Находится на сайте, дней:2477
Уникальных просмотров:1176
Комментариев:3

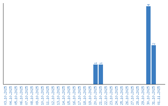
Динамика просмотров по датам