TransPhotoГородской электротранспорт

Информация об изображении

492 КБ


Идентификатор изображения:1209120
Размер файла:492 КБ
Автор:Марцуль Павел
Опубликовано:29.04.2019 19:50 MSK
Находится на сайте, дней:2490
Уникальных просмотров:1216
Комментариев:0

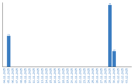
Динамика просмотров по датам