TransPhotoElektrinis miestų viešasis transportas

Nuotraukos informacija

404 Kb


Nuotraukos identifikatorius:1207264
Bylos dydis:404 Kb
Autorius:Koshekans
Publikuota:24.04.2019 00:25 MSK
Yra tinklapyje dienų:2404
Unikalių peržiūrų:513
Komentarų:0

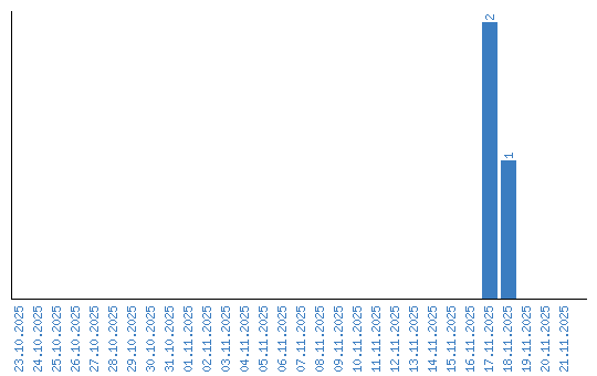
Peržiūrų dinamika pagal dienas