TransphotoUrban Electric Transit

Photo Statistics

462 KB


Photo ID:1204601
File Size:462 KB
Author:Клауд
Date published:15.04.2019 18:57 MSK
Days since photo published:2394
Unique views:484
Comments:0

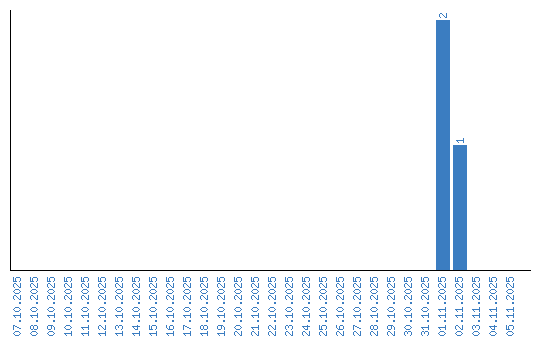
Viewing statistics by date