TransphotoUrban Electric Transit

Photo Statistics

486 KB


Photo ID:1183839
File Size:486 KB
Author:Rio
Date published:05.02.2019 18:40 MSK
Days since photo published:2460
Unique views:393
Comments:0

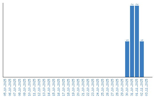
Viewing statistics by date