TransphotoTransports Électriques de Ville

Statistiques d'image

284 KB


ID de photo:116082
Taille du fichier:284 KB
Auteur:КЖ
Date de publication:14.12.2008 11:53 MSK
Jours dans la base de données:6189
Vues uniques:470
Commentaires:0

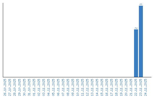
Affichage des statistiques par date