TransPhotoМіський електротранспорт

Статистика по зображенню

495 КБ


Ідентифікатор зображення:1076871
Розмір файлу:495 КБ
Автор:Капитан
Опубліковано:16.01.2018 20:27 MSK
Знаходиться на сайті, днів:2828
Унікальних переглядів:1093
Коментарів:10

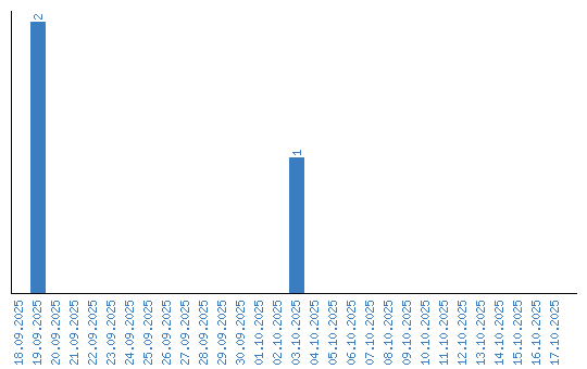
Динаміка переглядів за датами