Kalustotietokanta
Mallit
Raitiotie
Johdinauto
Metro
Monorail
Funikulaari
Translohr
AGT
Magneettijuna
Sähköbussi
Kaupungit ja järjestelmät
Raitiotie
Johdinauto
Metro
Monorail
Funikulaari
Translohr
AGT
Magneettijuna
Sähköbussi
Maat ja alueet
Tietokannan muutokset
Muuta
Uutiset aikajärjestyksessä
Sekalaiset kuvastot
Kuvakilpailu
Kartat
Maailmankartta
Tuntemattomat kuvat
Sivuston uutiset
Transphoton fanikerho
Linkit
Videoluettelo
Kommentit
Päivitykset
Uudet kuvat
Uudet kommentit
Kaikki kuvat lisäysjärjestyksessä
Ohjeet
Käyttöehdot
Kuvien julkaisukriteerit
Kuvien tietovaatimukset
Videoluettelon säännöt
Kuvan hylkäämisen syyt
Foorumi
Haku
Etsi kuvia
Etsi kulkuneuvoja
Etsi kommentteja
Etsi kuvaajia
Kirjaudu sisään
Rekisteröidy
Suomi
Русский
Беларуская
Українська
Български
Қазақ тілі
Polski
Čeština
Slovenčina
English
Deutsch
Français
Română
Eesti
Lietuvių
Latviešu
Hrvatski
Magyar
ქართული ენა
Suomi
汉语
Sähköinen kaupunkiliikenne
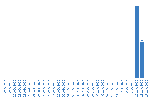
Kuvan tilastot
Kuvan numero:
107067
Tiedoston koko:
69 KB
Kuvaaja:
Maksimus
Julkaisupäivä:
15.11.2008 11:33 MSK
Kuvan olemmassaoloaika tietokannassa päivinä:
6179
Ainutlaatuiset näyttökerrat:
391
Kommentit:
0
Päiväkohtaisten tilastojen näyttäminen
Etusivu
Foorumi
Käyttöehdot
Ylläpito
Tumma tila
© TransPhoton ylläpito ja kuvaajat, 2002—2025
Minkä tahansa sivuston kuvan käyttö ilman kuvaajan lupaa on kielletty.