TransphotoUrban Electric Transit

Photo Statistics

383 KB


Photo ID:1052617
File Size:383 KB
Author:MetroSim
Date published:30.09.2017 23:51 MSK
Days since photo published:3015
Unique views:1109
Comments:0

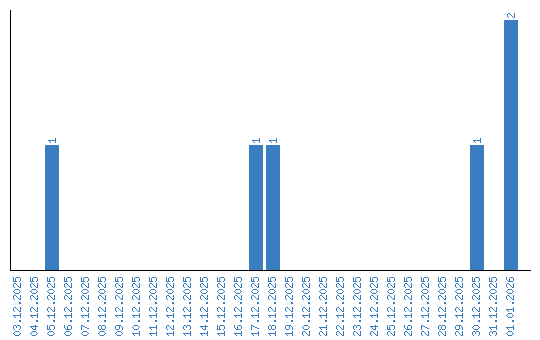
Viewing statistics by date