TransPhotoГарадскі электратранспарт

Iнфармацыя пра малюнак

499 КБ


Ідэнтыфікатар малюнка:1050201
Памер файла:499 КБ
Аўтар:TFA
Апублікавана:19.09.2017 00:53 MSK
Знаходзіцца на сайце, дзён:2968
Унікальных праглядаў:249
Каментароў:0

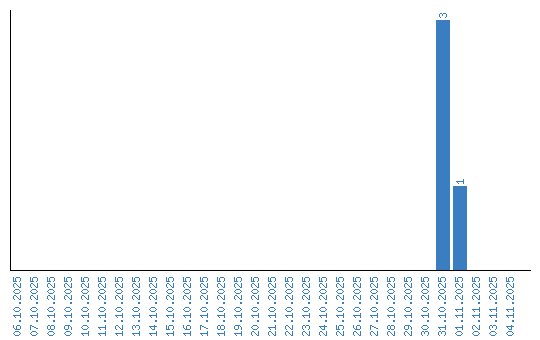
Дынаміка праглядаў па датах