TransphotoElektrischer Nahverkehr

Bildinformationen

377 KB


Foto-ID:1045552
Dateigröße:377 KB
Autor:MetroSim
Veröffentlicht am:30.08.2017 00:30 MSK
Tage seit Veröffentlichung:3017
Aufrufe:1323
Kommentare:0

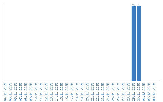
Aufrufestatistik (Tage)