TransphotoTransports Électriques de Ville

Statistiques d'image

489 KB


ID de photo:1019285
Taille du fichier:489 KB
Auteur:Rai
Date de publication:18.05.2017 20:39 MSK
Jours dans la base de données:3168
Vues uniques:192
Commentaires:0

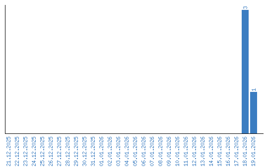
Affichage des statistiques par date