TransphotoUrban Electric Transit

Photo Statistics

411 KB


Photo ID:1010469
File Size:411 KB
Author:misa
Date published:18.04.2017 22:21 MSK
Days since photo published:3100
Unique views:312
Comments:0

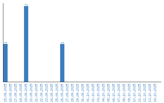
Viewing statistics by date