TransphotoElektrischer Nahverkehr

Bildinformationen

487 KB


Foto-ID:740327
Dateigröße:487 KB
Autor:Александр Олейников
Veröffentlicht am:23.11.2014 13:26 MSK
Tage seit Veröffentlichung:4027
Aufrufe:351
Kommentare:0

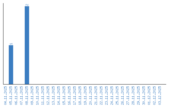
Aufrufestatistik (Tage)