TransPhotoҚалалық электр көлігі

Photo Statistics

246 КБ


Photo ID:420346
File Size:246 КБ
Автор:T6SerovIlyaB5
Date published:02.08.2011 19:35 MSK
Days since photo published:5216
Unique views:1448
Comments:42

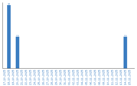
Viewing statistics by date