TransphotoSähköinen kaupunkiliikenne

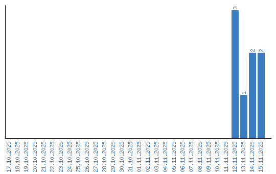
Kuvan tilastot

665 KB


Kuvan numero:2149932
Tiedoston koko:665 KB
Kuvaaja:Andrey Kramnoi
Julkaisupäivä:23.07.2025 14:41 MSK
Kuvan olemmassaoloaika tietokannassa päivinä:112
Ainutlaatuiset näyttökerrat:116
Kommentit:0

Päiväkohtaisten tilastojen näyttäminen