TransphotoTransports Électriques de Ville

Statistiques d'image

636 KB


ID de photo:2133565
Taille du fichier:636 KB
Auteur:imgetawaycar
Date de publication:20.06.2025 10:59 MSK
Jours dans la base de données:171
Vues uniques:365
Commentaires:5

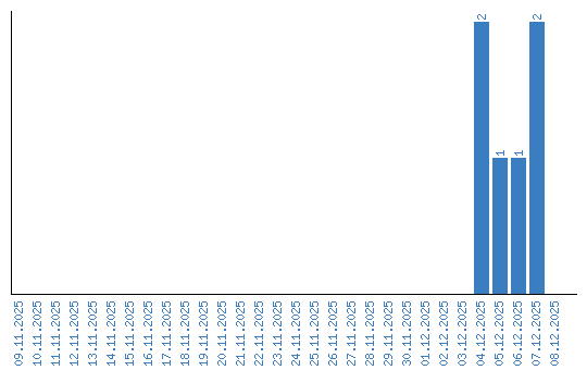
Affichage des statistiques par date