TransphotoSähköinen kaupunkiliikenne

Kuvan tilastot

342 KB


Kuvan numero:2118927
Tiedoston koko:342 KB
Kuvaaja:Георгий Лисин
Julkaisupäivä:22.05.2025 12:28 MSK
Kuvan olemmassaoloaika tietokannassa päivinä:192
Ainutlaatuiset näyttökerrat:254
Kommentit:0

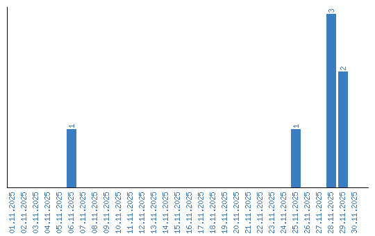
Päiväkohtaisten tilastojen näyttäminen