TransphotoElektrischer Nahverkehr

Bildinformationen

510 KB


Foto-ID:2113783
Dateigröße:510 KB
Autor:transportnik54
Veröffentlicht am:13.05.2025 15:54 MSK
Tage seit Veröffentlichung:185
Aufrufe:102
Kommentare:0

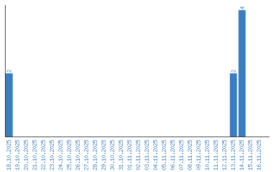
Aufrufestatistik (Tage)