TransPhotoҚалалық электр көлігі

Photo Statistics

236 КБ


Photo ID:186351
File Size:236 КБ
Автор:Антифактор
Date published:28.05.2009 20:11 MSK
Days since photo published:6014
Unique views:189
Comments:0

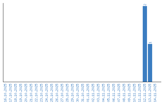
Viewing statistics by date