TransPhotoГородской электротранспорт

Информация об изображении

5029 КБ


Идентификатор изображения:1846991
Размер файла:5029 КБ
Автор:ST-763
Опубликовано:24.10.2023 07:10 MSK
Находится на сайте, дней:771
Уникальных просмотров:287
Комментариев:10

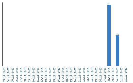
Динамика просмотров по датам