TransphotoUrban Electric Transit

Photo Statistics

5915 KB


Photo ID:1841245
File Size:5915 KB
Author:Tostro
Date published:12.10.2023 10:03 MSK
Days since photo published:780
Unique views:839
Comments:6

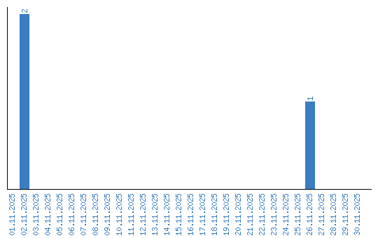
Viewing statistics by date