TransPhotoГрадски електротранспорт

Информация за снимката

240 КБ


Идентификатор на снимки:1728521
Размер на файла:240 КБ
Качено от:Viru
Качено:25.02.2023 18:21 MSK
Стоящо в сайта, дни:981
Уникални преглеждания:394
Коментари:4

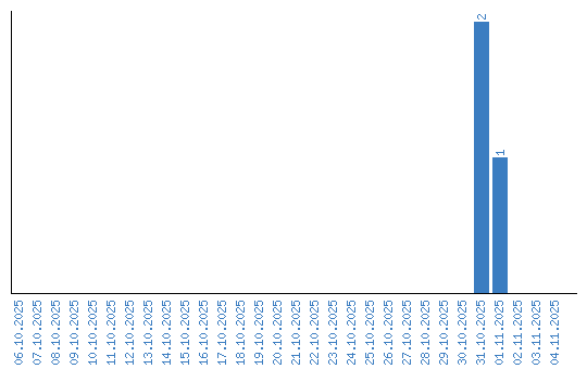
Динамика на преглежданията по дата