TransPhotoსაქალაქო ელექტრო ტრანსპორტი

Photo Statistics

697 KB


Photo ID:1585574
File Size:697 KB
ავტორი:Стальной Гвоздь
Date published:06.03.2022 10:30 MSK
Days since photo published:1375
Unique views:228
Comments:0

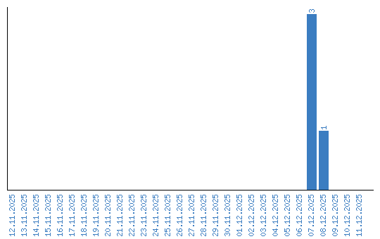
Viewing statistics by date